罗乐教授研究组在非厄米量子态拓扑调控的实验研究方面取得重要进展
中山大学必一·运动(B-Sports)-「登陆注册开户官网」罗乐教授研究组在非厄米量子态拓扑调控方面取得了重要进展,在囚禁离子量子比特的实验中发现非厄米奇异点(exceptional points)附近的动力学具有“动力学旋度”(dynamic vorticity)的新奇拓扑结构。研究团队利用这一动力学拓扑结构,实现了非互易和具备手征性的鲁棒量子态演化,为在开放系统中提供精密的量子态调控提供了全新视角。该研究成果以Dynamical topology of chiral and nonreciprocal state transfers in a non-Hermitian quantum system为题于2025年3月7日发表在国际知名期刊Communications Physics。必一·运动(B-Sports)-「登陆注册开户官网」原博士后陆鹏飞老师和粤港澳大湾区量子科学中心刘泱副研究员为共同第一作者,罗乐教授为唯一通讯作者。上述工作得到了国家自然科学基金项目、广东省重点领域研发计划项目以及广东省自然科学基金项目等的支持。
依赖几何相位定义的传统拓扑不变量在分类平衡态量子系统中表现出色(例如拓扑绝缘体、拓扑超导体等),它们依赖于哈密顿量的对称性和能隙结构,能够有效刻画系统的拓扑物理性质。直觉上,人们期待类似的拓扑不变量也可以描述非平衡的开放量子系统。然而,近年来的大量研究表明事实并非如此。在非平衡或非厄米的开放量子系统中,奇异点附近存在强烈的非绝热效应(如耗散诱导的非绝热跃迁),这使得几何相位的连续性受到破坏,使得传统拓扑不变量难以描述开放量子系统的物理性质。
针对这一难题,罗乐教授研究组近年来利用囚禁离子量子比特、超冷费米原子气体等实验体系,构造了可以精确操控的含时非厄米量子系统来探索新的拓扑不变量。在本研究中,研究组利用囚禁镱离子量子比特实现了环绕非厄米哈密顿量的奇异点的动力学演化,并发现其演化具备拓扑手征性与非互易性(图1)。在手性态转移过程中,顺时针环绕或逆时针环绕会导致不同的最终态。而在非互易态转移中,态的演化不仅取决于环绕奇异点的方向,还依赖于初始态的选择,并由初始态的时间导数决定。这些现象与哈密顿量的宇称-时间对称性及其在奇异点附近的破缺密切相关。
图1:从 PT 对称区间开始的非互易和手性拓扑态转换。(a-b) 从本征态|αA>开始顺时针环绕奇异点 (EP) 在黎曼曲面上演化轨迹和实验结果。(c-d) 本征态|αA>逆时针环绕 EP的演化轨迹和实验结果。(e-f) 本征态顺时针环绕 EP的演化轨迹和实验结果。(d) 本征态逆时针环绕 EP的演化轨迹和实验结果。
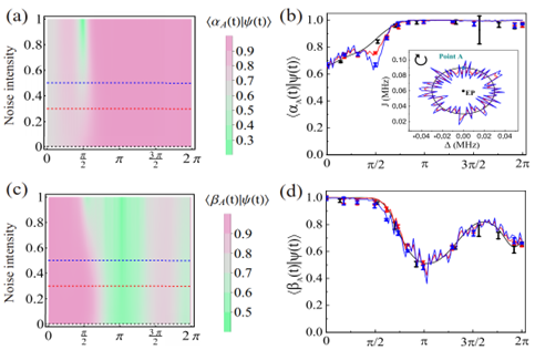
研究组进一步发现,这些量子态演化对外部引入的强噪声表现出极强的鲁棒性(图2)。为了揭示这一鲁棒性的拓扑机制,团队将原始哈密顿量转换至平行传输基矢下,并首次定义了一种新的拓扑不变量——动力学旋度(Dynamic Vorticity)。该拓扑不变量在环绕奇异点的过程中保持不变,无论是否发生耗散诱导的非绝热跃迁。这一发现表明,动力学旋度可视为含时变化非厄米系统中的普适拓扑不变量,可用来描述该系统中的拓扑的手征性与非互易性转动力学行为。该研究揭示出拓扑动力学可以源自耗散与相干作用的相互竞争,为探索和调控开放量子系统的拓扑特性提供了新的研究方向。
图2:动力学环绕EP的鲁棒性实验研究。(a),(c) 色度图显示了不同噪声强度下瞬时本征态和演化态之间的内积的数值模拟结果。(b),(d) 从PT 对称区间的|βA>开始顺时针环绕EP的实验结果,其中(b)的插图显示了二维参数空间 ∆ − J 中的环绕轨迹。
论文链接:https://www.nature.com/articles/s42005-025-01989-3

